Stationary heat propagation along the radius of an inhomogeneous hollow ball under boundary conditions of the third kind (convection)
Verification of the LIRA-FEM software / Stationary heat propagation along the radius of an inhomogeneous hollow ball under boundary conditions of the third kind (convection) / Société Bançajse des Mécaniciens, Commission Validation des progiciels de calcul de. Structures, groupe de travail Thermique (2D et 3D) et thermoélasticité, Pan‘s, 1989.
Type of analysis: stationary thermal.
Source: Société Bançajse des Mécaniciens, Commission Validation des progiciels de calcul de. Structures, groupe de travail Thermique (2D et 3D) et thermoélasticité, Pan‘s, 1989.
Geometry:
Ri=0.3м
Rm=0.35м
Re=0.37м
Material Characteristics:
Thermal conductivity coefficient: λ1=40 Вт/м ° C
Thermal conductivity coefficient: λ2=20 Вт/м ° C.
Boundary conditions:
The inner radius of the sphere:
convective heat transfer coefficient hi=150,0 Вт/м2 ° C,
set temperature on the convection elements =70°С.
The outer radius of the sphere:
convective heat transfer coefficient he=200,0 Вт/м2 ° C,
set temperature on the convection elements = -9°С.
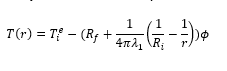
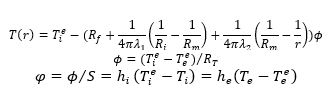
The calculation method used to obtain the reference solution:
1st material:
2nd material:
where, ϕ – heat flux (1W = 1 J/s);
φ is the heat flux density (W/m2 = 1 J/(s m2).
CALCULATION RESULTS:
|
R(м) |
The desired value |
Analytical solution |
Calculation results (LIRA-SAD) |
Uncertainty,% |
|
0.30 |
Тi (0С) |
25.06 |
24.93 |
0.52 |
|
0.35 |
Тm(0С) |
17.84 |
17.84 |
0.06 |
|
0.37 |
Тe (0С) |
13.16 |
13.24 |
0.53 |
|
[0.30÷0.37] |
ϕ (W)* |
7623.36 |
7511.43 |
1.47 |

Preview image: Array


Comments