Stationary heat propagation in an inhomogeneous rod under boundary conditions of the third kind (convection)
Verification of the LIRA-FEM software / Stationary heat propagation in an inhomogeneous rod under boundary conditions of the third kind (convection) / Société Fançajse des Mécaniciens, Commission Validation des progiciels de calcul de Structures, groupe de travail Thermique (2D et 3D) et thermoélasticité, Pan‘s, 1989.
Type of analysis: stationary thermal.
Analytical solution: Société Fançajse des Mécaniciens, Commission Validation des progiciels de calcul de Structures, groupe de travail Thermique (2D et 3D) et thermoélasticité, Pan‘s, 1989.
Geometry:
Rod AB: l1=0.05m
BC rod: l2=0.02m
Sectional area of the rod: S=1m2
Material characteristics:
Rod AB: λ1=0.75W/m0C
Rod BC: λ2=1W/m0C
Boundary conditions:
Convection at ends A and B:
End point A: set temperature on convection elements = -20.0°C,
convective heat transfer coefficient hA=20.0 W/m2 ° C.
End point B: set temperature for convection elements =193.0 ° C,
convective heat transfer coefficient hс = 10.0 W/m2 ° C,
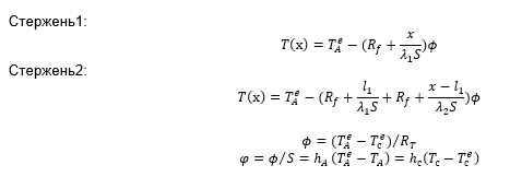
Calculation method used to obtain the reference solution:
where, ϕ – heat flux (1W = 1 J/s);
φ is the heat flux density (W/m2 = 1 J/(s m2).
CALCULATION RESULTS:
|
|
|
|
|
|
|
А |
(0С) |
25 |
25 |
0 |
|
B |
(0С) |
85 |
85 |
0 |
|
С |
(0С) |
103 |
103 |
0 |
|
[А÷С] |
φ (W/m2)* |
900 |
900 |
0 |
Preview image: Array




Comments